Every November or December, Jews around the world celebrate Hanukkah, a holiday that commemorates defeating and driving out the Hellenistic Seleucids from Israel and establishing the short-lived Hasmonean kingdom* around the year 160 BC. The celebration of Hanukkah involves lighting candles, eating greasy food, exchanging gifts, re-telling the story, and playing games with a spinning dreidel.
Legend has it that when the study of Judaism was banned by the Seleucids, scholars took to the hills to study in secret, and when authorities came to investigate, they pretended they were just doing some good wholesome gambling. That legend, however, is very likely made up and doesn't appear in print before 1890. I read an article arguing that the dreidel originated from a popular gambling device called a teetotum that was popular in Northern Europe in the medieval period, that eventually made its way into Yiddish culture. The letters on the four sides of the dreidel (equivalent to N, G, H Sh) are interpreted to stand for the Hebrew "Nes Gadol Haya Sham" (a great miracle happened there), but originally stood for the Yiddish rules for gambling with a dreidel: nit (nothing), gants (everything) halb (half), and shtel ein (put one in)**.
From a physics perspective, a dreidel is an example of a spinning top, a source of extremely difficult homework problems in undergraduate classical mechanics related to torque and angular momentum and rigid body motion and whatnot. I was chatting with a theorist I know who mentioned that it would be fun to calculate some of these spinning-top phenomena for the dreidel's specific geometry (essentially a square prism with a hyperboloid or paraboloid base), and I suggested trying to compare it to high-speed footage. A quick literature review revealed that most of the dreidel analysis has to do with whether the gambling game is fair and how long the games last. Annoyingly, the search was obfuscated by the fact that there's a publisher called DReidel.
My lab has a high-speed camera that is used to film gel particles and droplets as they deform. It is normally connected to a microscope, but with the help of a student in my lab, we removed it and connected it to a macroscopic lens we had lying around in ye-olde-drawer-of-optics-crappe. A representative of MIT Hillel graciously provided me with a few dreidels, and I some time spinning the dreidels in front of the high-speed camera and recording them at 1000 frames per second.
Before I get into the more quantitative analysis, let's just take a look at what a dreidel looks like in slow motion, because as far as I can tell from a the google, I am the first person to attempt this.
As I initially spin the dreidel, it spins in the air a few times, lands with an axial tilt, and gradually rights itself as its angle of precession comes closer to the vertical. After that, you can see it spinning rapidly and precessing a little bit, but not doing anything too crazy.
The self-righting behaviour is a lot more extreme when I do the advanced-level upside-down flip.
On those first few bounces, it really looks like it's going to fly out of control and crash, but still it gradually rights itself into a stable rotation. While this self-righting tendency is strong...it is not unstoppable.
It's also pretty fun to watch what happens when they eventually lose stability and fall over.
This self-righting is too complicated-looking for me to understand right now, so let's look at something simpler: the steady-state (a) rotation and (b) precession.
![]() |
| It rotates several times while precessing from left to right. |
There was initially a problem with this method of analysis, however. You can figure it out if look at the wall behind the dreidel in the above gifs (especially the wide crashing one), and notice that it's flickering. This is because the room is illuminated with AC electric light with a 60 Hz frequency. The light intensity is proportional to the square of the current, so it has a maximum twice per cycle, and the light flickers at 120 Hz. That is exactly the frequency at which the intensity fluctuates; the flickering was swamping the contribution from the dreidel. However, the quarter-turn frequency isn't that far off, so I was getting some neat beat frequency dynamics as well***.
This caught me off guard and it was skewing all my videos, so I took another few recordings using my cell phone flashlight with all the AC lights turned off. The videos don't look nearly as good, but the time-series are cleaner.
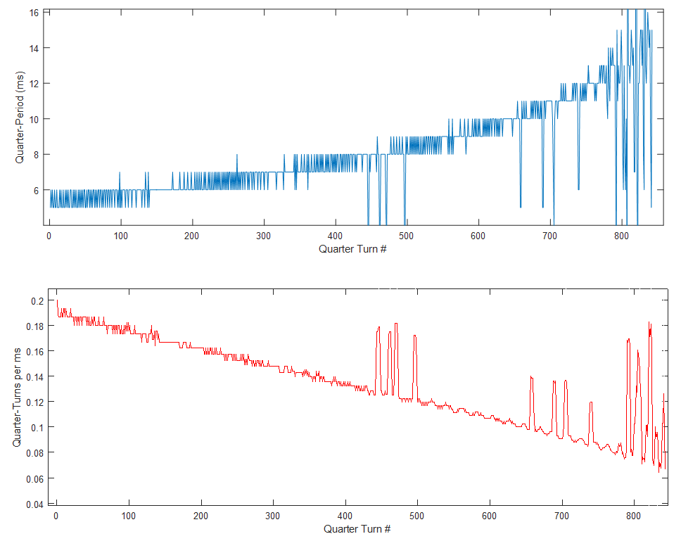
The fourier transform shows two peaks, one corresponding to rotation and one to precession, which is of stronger amplitude (I believe this is due to my analysis method and not to actual physics). The reason the peaks are smeared and not as at a sharp frequency is because the angular velocity gradually decreases as the dreidel loses energy to friction, so the peaks get smeared to the right.
![]() |
![]() |
| The measurement gets a bit hairy towards the end. |
That was mostly a discussion of the rotation, although precession presented itself as well. Let's take a closer look the precession. I wanted to measure the angle the dreidel was at with respect to the vertical, and how that evolved over time. This is not as easy to measure as the total image intensity; I had to use Principal Components Analysis. I found an algorithm on this blog post, and it worked as follows:
- Define a threshold intensity such that everything in the image above the threshold is dreidel, and everything below it is background. Set the dreidel equal to 1 and the background equal to 0.
- Define two arrays, one containing all the x-coordinates of all the 1's, and the other containing all the y-coordinates of all the 1's (such that each 1-pixel is represented in the array).
- Calculate the 2x2 covariance matrix of the location array.
- Find the eigenvectors and eigenvalues of the covariance matrix.
- Find the angle associated with the eigenvector with the larger eigenvalue (e.g. the arctangent of the ratio of its components)
Two things are apparent from looking at this graph: both the amplitude and frequency of precession are increasing over time. The fourier spectrum of the precession angle contains only the precession peak, without the rotation peak at higher frequency. What's happening is that gravity is exerting a torque on the dreidel at an angle relative to its principal angular momentum vector, which induces a precession in the direction determined by the cross product of spin and down. The angular frequency of precession is inversely proportional to that of rotation, so that as the dreidel slows due to friction, its precession speeds up, which is what we see. The spinning is essentially preventing the gravitational torque from pulling the dreidel down, and as it loses angular velocity, the precession angle gradually increases.
This whole project started as a discussion with a colleague about how the term "Jewish physics" should be repurposed from a label the Nazis used to discredit Einstein, and dreidels seemed like a natural thing to focus on. After fiddling around with a high-speed camera for a bit I got some cool videos, and thought I'd share them. I didn't really cover anything in this post that isn't explained in great detail in dozens of analytical mechanics textbooks, but it's perhaps the first time anyone has used a high-speed camera to record a dreidel. I thought it was neat.
In addition to being a fun little diversion, it also spurned an improvement in my DNA image analysis code. It was taking so long to open the dreidel movies in MATLAB that I looked into a more efficient way of doing so, which improved loading time by like a factor of 20 (from 55 seconds down to 3 seconds), which I now use to open DNA movies as well.
*If you grew up hearing the Hannukah story every year, you probably will not recognize the words Hellenistic, Seleucid, or Hasmonean.
**For those unfamiliar with Jewish linguistics, Hebrew is a Semitic language related to Arabic and Ethiopian (Amharic), whereas Yiddish is a Germanic language that uses Hebrew letters, so some of the words are similar to the also-Germanic English, e.g. halb and half.











